尊龙凯时

尊龙凯时邮箱 | 尊龙凯时家园 | 尊龙凯时药业 [ 002773 ]

尊龙凯时药业

ENG
产品展示
消化科
枸橼酸莫沙必利疏散片(新络纳)
尊龙凯时·(中国区)人生就是搏!
  • 【 成份】
    +

    本品主要成份为枸橼酸莫沙必利
    化学名称为:
    4-氨基-5-氯-2-乙氧基-N-{[4-(4- 氟苄基)-2-吗啉基]甲基}苯甲酰胺枸橼酸盐二水合物。。。
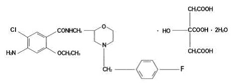
    化学结构式:

    分子式: C21H25ClFN303 .C6H807.2H20
    分子量: 650.05 

  • 【顺应症】
    +

    本品为消化道促动力剂,,主要用于功效性消化不良、慢性胃炎伴有烧心、嗳气、恶心、吐逆、早饱、上腹胀、上腹痛等消化道症状者。。。

  • 【规格】
    +

    5mg。。。

  • 【用法用量】
    +

    口服,,一次5mg(一片),,一日三次,,饭前或饭后服用,,或遵医嘱。。。

  • 【不良反应】
    +

    主要体现为腹泻、腹痛、口干、皮疹及疲倦、头晕等。。。偶见嗜酸性粒细胞增多、甘油三酯升高及丙氨酸氨基转移酶(ALT)、天门冬氨酸氨基转移酶(AST)、碱性磷酸酶(AKP)、γ-谷氨酰转肽酶(GGT)升高。。。

【网站地图】【sitemap】